题目名称 4237. String
输入输出 changgao_string.in/out
难度等级 ★★★★
时间限制 1000 ms (1 s)
内存限制 512 MiB
测试数据 10
题目来源 GravatarHXF 于2025-12-19加入
开放分组 全部用户
提交状态
分类标签
动态规划 计数类DP
查看题解 分享题解
通过:0, 提交:1, 通过率:0%
Gravatar终焉折枝 10 2.307 s 15.79 MiB C++
本题关联比赛
2025.12.20
关于 String 的近10条评论(全部评论)

4237. String

★★★★   输入文件:changgao_string.in   输出文件:changgao_string.out   简单对比
时间限制:1 s   内存限制:512 MiB

【题目描述】

大样例

【输入格式】

【输出格式】

【样例输入1】

2 650

【样例输出1】

zyz

【样例输入2】

2 651

【样例输出2】

-1

【样例输入3】

5 12345678901234

【样例输出3】

yuzczuyuyuzuyci

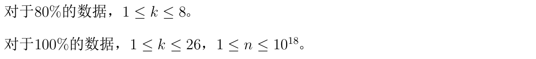
【数据规模与约定】

【来源】

常2.26